#facebook

53 posts · Last used 19h

Back to Timeline
@Peter_Link@expressional.social in palestine · 19h ago
Palestine - From the River to the Sea A very eloquent defense of one democratic, secular #Palestine from a #Jewish person who lived in #Israel for 20 years. from #Facebook post by #EinatTempkin on April 24, 2026 Graphic is below Text is in this document: https://drive.proton.me/urls/KCBF4BFM6G#OdZGhkU0cJrN #SanctionIsrael #SolidarityWithPalestineIsNotAntisemitism #EqualRightsForAllFromTheRiverToTheSeaIsNotAntisemitic #JewHatredHurtsPalestine #MiddleEast #WestAsia @palestine
0
3
0
@noy@flipboard.social · 1d ago
I joined #Fediverse after 2025 inauguration. So far I see the future is bright here at Fediverse The clean energy kind of bright Never going to be as bright as tech-bro-business kind of bright like #Facebook, #Instagram, #Twitter (never going to call anything else), or #Bluesky, but that is okay with me I choose clean and friendly energy kind of bright over fossil fuel polluted kind of bright. And that is how I explain to people why I only have #Mastodon and #Pixelfed accounts when they asked For now, have a good night!
2
1
2
@tgpo@social.linux.pizza · 3d ago
#facebook is laying off 8000 employees. They must be tanking, sell your stock!!! Only a failing company would lay off 10% of their employees. No company worth anything would do such a thing. #makelayoffsembarrassingagain #meta
0
0
0
@madeindex@mastodon.social · 3d ago
12
4
24
Boosted by Kevin Karhan @kkarhan@jorts.horse
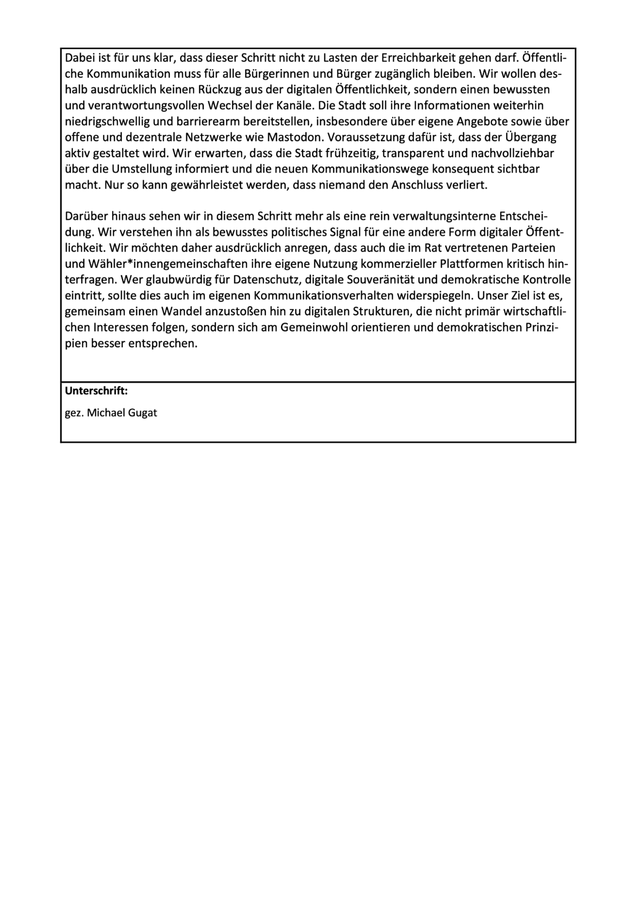
@DerGugat@nrw.social · 4d ago
Stadt #Bielefeld ins #Fediverse! Wir wollen, dass die Stadt #Bielefeld sich von Plattformen wie #Facebook und #Instagram löst und auf offene Alternativen wie Mastodon setzt. Für mehr #Datenschutz, digitale Souveränität und demokratische Kontrolle. Öffentliche Kommunikation gehört in öffentliche Räume. Unser Antrag ist ein erster Schritt. #Lokaldemokratie #LiB
86
0
46
@Jorro@universeodon.com · Apr 19, 2026
#Facebook #apple #ice #taco #socialmedia #Mastodon Facebook and Apple surrendered quickly, that is why I like Mastodon : “ The Trump administration violated the First Amendment by pressuring technology companies to remove apps and groups critical of Immigration and Customs Enforcement (ICE), a federal court ruled.” “In October 2025, government agents "coerced" Apple to remove the "Eyes Up" application, which allows "people to post videos and information regarding ICE activity," according to the eight-page memorandum opinion issued by Chicago-based U.S. District Judge Jorge Luis Alonso, a Barack Obama appointee, on Thursday. That same month, a similar instance of coercion forced Facebook to remove the "ICE Sightings – Chicagoland" group, where citizens are also able "to post videos and information regarding ICE activity," according to the district court.” https://lawandcrime.com/high-profile/government-coerced-enforcement-trump-admin-violated-first-amendment-by-forcing-facebook-and-apple-to-remove-ice-tracking-apps-district-court-issues-injunction/
0
0
0
@oblomov@sociale.network · Apr 13, 2026
I've been using eyeglasses with a thick frame for most of my life. Now I have to look into getting ones with a thin frame just to avoid being confused with any of the assholes wearing spy glasses from‌ #Meta #Facebook or the upcoming one from #appleinc Fuck surveillance capitalism.
31
0
9
@juergen_hubert@mementomori.social · Apr 13, 2026
I've never tried to hide that I want to build up my side business of translating old German folk tales into a significant side income. "Quit your day job" levels are unrealistic, since my day job pays decently and I quite like the benefits, but maybe it will be possible to work reduced hours one day. Currently, I earn about €200 per months. I do have some expenses - commissing cover illustrations, hiring a copywriter, and pay for domain and website maintenance (which has gotten more expensive as of late - thanks, #LLM scrapers!). https://sunkencastles.com/the-books/ Right now, my books are primarily a marketing tool for my Patreon campaign, although I do get some money from them. My sales per year are: 2020: 71 (Release of "Sunken Castles, Evil Poodles") 2021: 69 2022: 133 (Release of "Lurkers at the Threshold") 2023: 78 2024: 50 2025: 52 Even though I haven't released a new book since 2022, book sales haven't declined nearly as much as is usual for books. I assume that this means that knowledge of their existence is spread by word of mouth - thanks to everyone who has recommended them to others! Still, I really need to get "Old Goatfoot" out (the next book) - and I have enough material to start on the manuscripts for "Magic in Theory and Malpractice" and "Unnatural Taxonomies" as well (with "Spirits in Motion" not far behind). While publishing my weekly translations on Patreon remains the first priority, this is the second highest one. https://graphtreon.com/creator/sunkencastles Speaking of my Patreon campaign, it has generally plateaued since its high point in 2023. I suspect the reason for this, too, is the lack of new books, which are the visible representation of all the work I do. If my people see more of my books on the shelves, they will be more intrigued in the early release material I publish there. And once my Patreon campaign grows big enough, I hope to use it to pay for custom illustrations for the tales - but alas, I am not there yet. But of course, I do further marketing beyond selling books. After I abandoned/fled Twitter, I focused on #Mastodon as my primary marketing tool. I tried a #Facebook page for two years or so, but that was a waste of time - I never attracted even a hundred followers, and I refused to pay Meta for advertising. Better to stick to the #Fediverse, where there is no algorithm that hates you. Still, even my Mastodon-based approach has seen some refinement. I used to share my tales as screenshots, but that was not ideal from an accessibility point of view. Thus, I spent seven months on building up a wiki repository, and now share invididual tales as links: https://wiki.sunkencastles.com/wiki/Main_Page This required a lot of effort which distracted me from working on the book manuscripts. But now it is functionally complete, and I think the end result is worth it. So here you have it: My focus for the rest of the year is to get my next book published, and hopefully this will bring me a further increase in revenue. Does anyone have any further questions about my work as an independent author/translator, and my future goals? #amwriting
0
1
0
@TheBadPlace@mastodon.ozioso.online · Apr 12, 2026
EL PAÍS in English | Modern cults are replacing leaders with ‘life coaches’: ‘They mimic the capitalist logic of influencers’ by Enrique Alpañés It all starts in front of a screen, in the most innocent way possible. Accepting a friend request on Facebook. Following an influencer. Signing up for a study skills course about investing in cryptocurrencies. Entering a Roblox minigame. These are all gateways into a labyrinth of psychological manipulation that, in just a matter of months, can end with the innocent internet user trapped in a cult-like community, isolated and ruined. This mental and physical kidnapping occurs — and this is the worst part — voluntarily. Seguir leyendo Read more: https://english.elpais.com/society/2026-04-11/modern-cults-are-replacing-leaders-with-life-coaches-they-mimic-the-capitalist-logic-of-influencers.html #facebook #influencers #internet #roblox
0
0
0
@TheBadPlace@mastodon.ozioso.online · Apr 01, 2026
bellingcat | How Wildlife Traffickers Are Using Coded Language to Sell Protected Animals On Facebook A Bellingcat investigation has identified nine Facebook groups with a combined membership of more than 70,000 people, in which coded language has helped illegal wildlife dealers evade bans on the platform for years. Facebook says it prohibits any form of animal trading on its platform. Investigating the operators behind all nine groups, Bellingcat identified six […] The post How Wildlife Traffickers Are Using Coded Language to Sell Protected Animals On Facebook appeared first on bellingcat. Read more: https://www.bellingcat.com/news/2026/03/19/how-wildlife-traffickers-are-using-coded-language-to-sell-protected-animals-on-facebook/ #wildlifetraffickers #facebook #protectedanimals #illegalwildlife #codedlanguage
0
0
0
@stux@mstdn.social · Mar 29, 2026
RE: https://mastodon.online/@mastodonmigration/116312883173526888 There we go! I feel like i keep reposting this every week or so.. Bit by bit #Bsky is sliding towards just another clone of #Twitter and #Facebook Actions speak louder then words The #Fediverse remains the only true open source, self-hosted world wide community driven by the people Going #AI (#LLM) is a CHOICE, they again chose wrong
Quoting
Mastodon Migration @mastodonmigration@mastodon.online
How About Some AI With Your Bluesky? A tale of two social networks. Last week some enterprising Mastodon account was discovered to be scraping posts to feed to an AI for the purpose of helping people navigate the Fediverse. The response was swift. The alarm went out. The account was widely blocked and shunned. Yesterday to great fanfare #Bluesky announced, as a new corporate feature, all posts would be scraped and an AI would now help users navigate the ATmosphere. https://techcrunch.com/2026/03/28/bluesky-leans-into-ai-with-attie-an-app-for-building-custom-feeds/
Open quoted post
195
16
198
@didleth@mastodon.social · Mar 26, 2026
Feminizm powinien wspierać równouprawnienie i siostrzeństwo. Jednak dla wielu osób to tylko szyld, by zbierać lajki i szczuć ludzi przeciwko sobie. Zapraszam do lektury. https://didleth.pl/o-pulapkach-instafeminizmu/ #feminizm #instagram #facebook
5
1
6
In reply to
@Nonilex@masto.ai · Mar 24, 2026
Jurors sided with state prosecutors who argued that #Meta — which owns #Instagram, #Facebook & #WhatsApp — prioritized profits over #safety. The #jury determined Meta violated parts of the state’s Unfair Practices Act on accusations the company hid what it knew about the dangers of #child sexual #exploitation on its platforms & impacts on child #MentalHealth. #law #accountability #socialmedia #tech #business #moderation #ChildAbuse #pedophilia
24
2
14
@TheBadPlace@mastodon.ozioso.online · Mar 24, 2026
yahoo news | Just like Gen Z, a young Mark Zuckerberg ‘had no concept of small talk’ and woul... by undefined The “Gen Z stare” went viral last year as a meme for a blank, expression‑less look that many young people associate with constantly being glued to a screen. Yet the same kind of unflinching stare can be traced back to Mark Zuckerberg’s early days at Facebook. Y Combinator co‑founder Paul Graham recalled meeting the Harvard dropout around 2007 and being struck by Zuckerberg’s lack of small‑talk skills: if he had nothing to say, he simply stared, filling the silence with no conversation at all. Graham described the experience as “surprisingly disconcerting” and noted how unusual it was for someone of that age to have no concept of casual chit‑chat. Since then Zuckerberg’s communication abilities have visibly evolved. From delivering Harvard’s commencement address in 2017 to testifying before Congress multiple times, he has become a far more polished public speaker—a change he attributes to repeated feedback about his early “robotic” demeanor. In a 2019 NBC interview he admitted, “I just come across as robotic,” and on Threads in 2024 he explained that negative reactions made him more careful and scripted, ultimately helping him improve. Today, the 41‑year‑old CEO commands a net worth of roughly $210 billion and leads a company valued at $1.5 trillion, underscoring how mastering communication can complement even the most groundbreaking products. Graham’s observations highlight a broader lesson: effective communication—especially seemingly trivial small talk—is a critical skill for career advancement and leadership. Industry veterans such as Richard Branson and JPMorgan CEO Jamie Dimon stress that soft skills like communication, emotional intelligence, and clear writing are now “table stakes” in an AI‑driven workplace. As AI can assist with efficiency but cannot replace genuine human connection, leaders who can listen, inspire, and convey ideas will remain indispensable, while many Gen Z workers who struggle with networking risk being left behind. Read more: https://fortune.com/2026/03/23/meta-cofounder-mark-zuckerberg-social-skills-no-small-talk-y-combinator-paul-graham-venture-capitalist-behind-airbnb-reddit-gen-z-career-advice/ #genz #markzuckerberg #facebook #paulgraham
0
0
0
@pygospa@social.linux.pizza · Mar 17, 2026
2
0
4
@spozzfroind@social.row-social.de · Mar 14, 2026
Hier gibt es einen wirklich guten Beitrag von ZDFInfo über die Entwicklung von Mark Zuckerberg vom Tech-Nerd zum Trump-Gefolgsmann. Leider nicht in der Mediathek gefunden, deshalb der Youtube-Link https://youtu.be/RkHjSQjDK8w?si=5U-pwMJDNUnHC69u #zdfinfo #facebook #zuckerberg #trumpism
0
0
0
@p357@mastodon.com.pl · Mar 09, 2026
Cóż. W sumie nikt chyba się nie spodziewał ochrony prywatności ze strony Mety. Bardziej irytuje fakt, że przeważnie prywatność w internecie jest naszym wyborem. – Nie chcesz używać FB? Okej. Nie używaj. Gorzej, że ja nie mam wpływu na to, że ktoś mnie nagrał dzisiaj w pościgu, a potem ktoś w Kenii oglądał to i opisywał moje czynności w celu szkolenia SI. https://znosnenewsy.pl/meta-vs-prywatnosc-nowe-nie-znalismy/ #ai #si #meta #facebook #prywatność #technologia
0
0
0
@ItalianNews@mastodon.ozioso.online · Mar 06, 2026
Today: Trova una cassetta con la "voce dei nonni" del 1968: il lieto fine dopo il post sui social Una vecchia musicasetta, con sopra una scritta a penna, datata 1968 e la descrizione del contenuto: "Voce di nonna Natalina e nonno Brando". Un reperto senza significato per molti, ma non per chi quei nonni li aveva conosciuti e amati. Così, con un post pubblicato sul gruppo Facebook di... Find a cassette with the “voice of grandparents” from 1968: the happy ending after the social media post. An old music box, with a handwritten inscription dated 1968 and the description of the contents: "Voice of Nonna Natalina and Nonno Brando”. A relic without meaning for many, but not for those who had known and loved those grandparents. So, with a post published on the Facebook group of… #NonnoBrando #Facebook https://www.today.it/web/cassetta-voci-nonni.html
0
0
0
@hbrpgm@adalta.social · Mar 05, 2026

📺 https://peer.adalta.social/w/qD9dixNzcsqqmhYTgrwxzZ 🔗 🇩🇪🇺🇸🇫🇷 🔗 ℹ️

WhatsApp érode délibérément les frontières de la vie privée en rendant les statuts visibles au-delà du carnet d’adresses.

#meta #datenschutz #facebook #whatsapp #zuckerberg

0
0
0
@hbrpgm@adalta.social · Mar 05, 2026

📺 https://peer.adalta.social/w/gcwjXDah7ZXufBh9UjmvPb 🔗 🇩🇪🇺🇸🇫🇷 🔗 ℹ️

WhatsApp’s status expansion dismantles its core privacy promise, forcing a strategic reckoning for users and regulators.

#meta #datenschutz #facebook #whatsapp #zuckerberg

0
0
0